W tym zadaniu musisz wyznaczyć postać n-tego złożenia funkcji
Kilka pierwszych wartości:
Stąd przewidujemy postać rozwiązania:
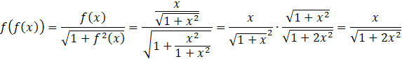
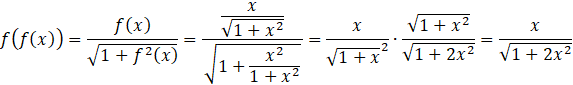
Policz pierwsze złożenia:
- dla
- dla
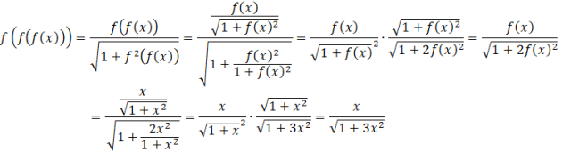
Analogicznie możesz policzyć dla
Widać stąd, iż rozwiązanie może mieć postać:
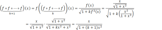
W matematyce technikę przewidywania postaci rozwiązania, a na następnie dowodzenie jego poprawności nazywa się ansatzem. By udowodnić powyższy ansatz, posłuż się indukcją matematyczną (gdyż n jest liczbą naturalną). Widzisz, iż dla
Dowodzi to poprawności rozwiązania.
Zadanie 1.
120Zadanie 2.
121Zadanie 3.
121Zadanie 4.
121Zadanie 6.
121Zadanie 7.
122Zadanie 8.
122Zadanie 3.
126Zadanie 4.
126Zadanie 5.
126Zadanie 1.
132Zadanie 2.
133Zadanie 3.
133Zadanie 4.
133Zadanie 1.
136Zadanie 2.
136Zadanie 3.
137Zadanie 4.
137Zadanie 5.
137Zadanie 6.
137Zadanie 7.
137Zadanie 8.
137Zadanie 9.
137Zadanie 1.
142Zadanie 2.
142Zadanie 3.
143Zadanie 4.
143Zadanie 5.
143Zadanie 8.
143Zadanie 1.
149Zadanie 2.
149Zadanie 3.
149Zadanie 5.
149Zadanie 3.
159Zadanie 4.
159Ćwiczenie 1.
161Ćwiczenie 2.
162Ćwiczenie 3.
163Zadanie 1.
171Zadanie 2.
171Zadanie 3.
171Zadanie 4.
172Zadanie 5.
172Zadanie 6.
172Zadanie 7.
172Zadanie 1.
177Zadanie 2.
178Zadanie 3.
178Zadanie 4.
178Zadanie 5.
178Zadanie 6.
178Zadanie 10.
180Zadanie 11.
180