W tym zadaniu musisz wyznaczyć minimum funkcji
Minimum jest równe 2.
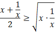
By znaleźć to minimum, możesz zastosować jedną z dwóch metod (których jest dużo więcej). Jedna z nich to wykonanie szkicu funkcji. Odczytaj następnie wartość minimalną dla dodatnich argumentów. Druga metoda to skorzystanie z nierówności między średnią arytmetyczną i geometryczną. Mianowicie dla ciągu n liczb dodatnich oznaczonych jako „a” z indeksami zachodzi:
Niech
Rozwiązując to równanie otrzymasz, iż wartości funkcji są nie mniejsze niż 2. Stąd wniosek, iż wartość minimalna funkcji, to 2.
Zadanie 1.
120Zadanie 2.
121Zadanie 3.
121Zadanie 4.
121Zadanie 6.
121Zadanie 7.
122Zadanie 8.
122Zadanie 3.
126Zadanie 4.
126Zadanie 5.
126Zadanie 1.
132Zadanie 2.
133Zadanie 3.
133Zadanie 4.
133Zadanie 1.
136Zadanie 2.
136Zadanie 3.
137Zadanie 4.
137Zadanie 5.
137Zadanie 6.
137Zadanie 7.
137Zadanie 8.
137Zadanie 9.
137Zadanie 1.
142Zadanie 2.
142Zadanie 3.
143Zadanie 4.
143Zadanie 5.
143Zadanie 8.
143Zadanie 1.
149Zadanie 2.
149Zadanie 3.
149Zadanie 5.
149Zadanie 3.
159Zadanie 4.
159Ćwiczenie 1.
161Ćwiczenie 2.
162Ćwiczenie 3.
163Zadanie 1.
171Zadanie 2.
171Zadanie 3.
171Zadanie 4.
172Zadanie 5.
172Zadanie 6.
172Zadanie 7.
172Zadanie 1.
177Zadanie 2.
178Zadanie 3.
178Zadanie 4.
178Zadanie 5.
178Zadanie 6.
178Zadanie 10.
180Zadanie 11.
180