Zadanie

W tym zadaniu musisz wyznaczyć złożenia funkcji : .

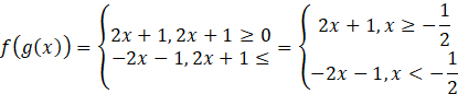
Rozwiązanie

Wyjaśnienie

Zadania z tego działu
VI. Funkcje
111