W tym zadaniu musisz wyznaczyć dziedzinę funkcji
Dziedzina (zbiór argumentów) to zbiór wszystkich elementów, dla których dane odwzorowanie ma sens.
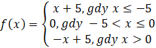
Zadanie 1.
120Zadanie 2.
121Zadanie 3.
121Zadanie 4.
121Zadanie 6.
121Zadanie 7.
122Zadanie 8.
122Zadanie 3.
126Zadanie 4.
126Zadanie 5.
126Zadanie 1.
132Zadanie 2.
133Zadanie 3.
133Zadanie 4.
133Zadanie 1.
136Zadanie 2.
136Zadanie 3.
137Zadanie 4.
137Zadanie 5.
137Zadanie 6.
137Zadanie 7.
137Zadanie 8.
137Zadanie 9.
137Zadanie 1.
142Zadanie 2.
142Zadanie 3.
143Zadanie 4.
143Zadanie 5.
143Zadanie 8.
143Zadanie 1.
149Zadanie 2.
149Zadanie 3.
149Zadanie 5.
149Zadanie 3.
159Zadanie 4.
159Ćwiczenie 1.
161Ćwiczenie 2.
162Ćwiczenie 3.
163Zadanie 1.
171Zadanie 2.
171Zadanie 3.
171Zadanie 4.
172Zadanie 5.
172Zadanie 6.
172Zadanie 7.
172Zadanie 1.
177Zadanie 2.
178Zadanie 3.
178Zadanie 4.
178Zadanie 5.
178Zadanie 6.
178Zadanie 10.
180Zadanie 11.
180