W tym zadaniu musisz wyznaczyć równania stycznych.
Styczna jest postaci:
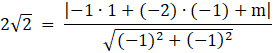
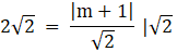
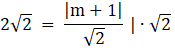
Odległość środka okręgu od stycznej jest równa promieniowi:
Zapisz równania prostych:
Zadanie 6.1.
91Zadanie 6.2.
91Zadanie 6.3.
91Zadanie 6.4.
91Zadanie 6.5.
91Zadanie 6.6.
91Zadanie 6.8.
91Zadanie 6.9.
92Zadanie 6.10.
92Zadanie 6.14.
92Zadanie 6.16.
92Zadanie 6.17.
92Zadanie 6.18.
93Zadanie 6.19.
93Zadanie 6.20.
93Zadanie 6.21.
93Zadanie 6.22.
93Zadanie 6.23.
93Zadanie 6.24.
93Zadanie 6.25.
93Zadanie 6.26.
93Zadanie 6.27.
94Zadanie 6.29.
94Zadanie 6.30.
94Zadanie 6.31.
94Zadanie 6.32.
94Zadanie 6.33.
94Zadanie 6.36.
95Zadanie 6.38.
95Zadanie 6.39.
95Zadanie 6.42.
95Zadanie 6.43.
95Zadanie 6.44.
95Zadanie 6.51.
96Zadanie 6.52.
96Zadanie 6.53.
96Zadanie 6.54.
96Zadanie 6.57.
97Zadanie 6.58.
97Zadanie 6.59.
97Zadanie 6.60.
97Zadanie 6.61.
97Zadanie 6.62.
97Zadanie 6.63.
97Zadanie 6.64.
98Zadanie 6.65
98Zadanie 6.66.
98Zadanie 6.67.
98Zadanie 6.68
98Zadanie 6.69.
98Zadanie 6.70.
98Zadanie 6.75.
99Zadanie 6.76.
99Zadanie 6.77.
99Zadanie 6.78.
99Zadanie 6.79.
99Zadanie 6.86.
100Zadanie 6.89.
100Zadanie 6.91.
101Zadanie 6.93.
101Zadanie 6.96.
101Zadanie 6.97.
101Zadanie 6.98.
102Zadanie 6.99.
102Zadanie 6.100.
102Zadanie 6.102.
102Zadanie 6.104.
102Zadanie 6.105.
102Zadanie 6.106.
102Zadanie 6.107.
103Zadanie 6.108.
103Zadanie 6.109.
103Zadanie 6.110.
103Zadanie 6.111.
103Zadanie 6.112.
103Zadanie 6.113.
103Zadanie 6.114.
104Zadanie 12.
105Zadanie 16.
105Zadanie 17.
105Zadanie 21.
106Zadanie 22.
106