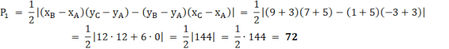
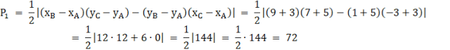
W tym zadaniu musisz obliczyć pole trójkąta ABC.
Zwizualizuj dane na rysunku.
Podstaw dane do wzoru.
Zadanie 6.1.
91Zadanie 6.2.
91Zadanie 6.3.
91Zadanie 6.4.
91Zadanie 6.5.
91Zadanie 6.6.
91Zadanie 6.8.
91Zadanie 6.9.
92Zadanie 6.10.
92Zadanie 6.14.
92Zadanie 6.16.
92Zadanie 6.17.
92Zadanie 6.18.
93Zadanie 6.19.
93Zadanie 6.20.
93Zadanie 6.21.
93Zadanie 6.22.
93Zadanie 6.23.
93Zadanie 6.24.
93Zadanie 6.25.
93Zadanie 6.26.
93Zadanie 6.27.
94Zadanie 6.29.
94Zadanie 6.30.
94Zadanie 6.31.
94Zadanie 6.32.
94Zadanie 6.33.
94Zadanie 6.36.
95Zadanie 6.38.
95Zadanie 6.39.
95Zadanie 6.42.
95Zadanie 6.43.
95Zadanie 6.44.
95Zadanie 6.51.
96Zadanie 6.52.
96Zadanie 6.53.
96Zadanie 6.54.
96Zadanie 6.57.
97Zadanie 6.58.
97Zadanie 6.59.
97Zadanie 6.60.
97Zadanie 6.61.
97Zadanie 6.62.
97Zadanie 6.63.
97Zadanie 6.64.
98Zadanie 6.65
98Zadanie 6.66.
98Zadanie 6.67.
98Zadanie 6.68
98Zadanie 6.69.
98Zadanie 6.70.
98Zadanie 6.75.
99Zadanie 6.76.
99Zadanie 6.77.
99Zadanie 6.78.
99Zadanie 6.79.
99Zadanie 6.86.
100Zadanie 6.89.
100Zadanie 6.91.
101Zadanie 6.93.
101Zadanie 6.96.
101Zadanie 6.97.
101Zadanie 6.98.
102Zadanie 6.99.
102Zadanie 6.100.
102Zadanie 6.102.
102Zadanie 6.104.
102Zadanie 6.105.
102Zadanie 6.106.
102Zadanie 6.107.
103Zadanie 6.108.
103Zadanie 6.109.
103Zadanie 6.110.
103Zadanie 6.111.
103Zadanie 6.112.
103Zadanie 6.113.
103Zadanie 6.114.
104Zadanie 12.
105Zadanie 16.
105Zadanie 17.
105Zadanie 21.
106Zadanie 22.
106