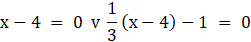
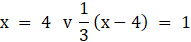
W tym zadaniu musisz wyznaczyć punkty A i B.
Parabola jest równoodległa od linii przechodzącej przez punk wierzchołkowy więc proste przechodzące przez punkty WA i WB muszą być nachylone do linii pionowej pod kątem
Wyznacz teraz współczynniki a tych prostych:
Wyznacz równania tych prostych.
Podstaw punkt W do równań.
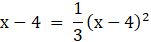
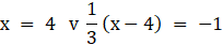
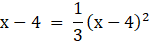
Teraz będziesz szukać punktów AB przyrównując podane równania z parabolą.
Punkt B
Zadanie 6.1.
91Zadanie 6.2.
91Zadanie 6.3.
91Zadanie 6.4.
91Zadanie 6.5.
91Zadanie 6.6.
91Zadanie 6.8.
91Zadanie 6.9.
92Zadanie 6.10.
92Zadanie 6.14.
92Zadanie 6.16.
92Zadanie 6.17.
92Zadanie 6.18.
93Zadanie 6.19.
93Zadanie 6.20.
93Zadanie 6.21.
93Zadanie 6.22.
93Zadanie 6.23.
93Zadanie 6.24.
93Zadanie 6.25.
93Zadanie 6.26.
93Zadanie 6.27.
94Zadanie 6.29.
94Zadanie 6.30.
94Zadanie 6.31.
94Zadanie 6.32.
94Zadanie 6.33.
94Zadanie 6.36.
95Zadanie 6.38.
95Zadanie 6.39.
95Zadanie 6.42.
95Zadanie 6.43.
95Zadanie 6.44.
95Zadanie 6.51.
96Zadanie 6.52.
96Zadanie 6.53.
96Zadanie 6.54.
96Zadanie 6.57.
97Zadanie 6.58.
97Zadanie 6.59.
97Zadanie 6.60.
97Zadanie 6.61.
97Zadanie 6.62.
97Zadanie 6.63.
97Zadanie 6.64.
98Zadanie 6.65
98Zadanie 6.66.
98Zadanie 6.67.
98Zadanie 6.68
98Zadanie 6.69.
98Zadanie 6.70.
98Zadanie 6.75.
99Zadanie 6.76.
99Zadanie 6.77.
99Zadanie 6.78.
99Zadanie 6.79.
99Zadanie 6.86.
100Zadanie 6.89.
100Zadanie 6.91.
101Zadanie 6.93.
101Zadanie 6.96.
101Zadanie 6.97.
101Zadanie 6.98.
102Zadanie 6.99.
102Zadanie 6.100.
102Zadanie 6.102.
102Zadanie 6.104.
102Zadanie 6.105.
102Zadanie 6.106.
102Zadanie 6.107.
103Zadanie 6.108.
103Zadanie 6.109.
103Zadanie 6.110.
103Zadanie 6.111.
103Zadanie 6.112.
103Zadanie 6.113.
103Zadanie 6.114.
104Zadanie 12.
105Zadanie 16.
105Zadanie 17.
105Zadanie 21.
106Zadanie 22.
106