W tym zadaniu musisz wyznaczyć równanie prostej l.
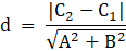
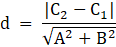
Skorzystaj ze wzoru na odległość między dwoma prostymi równoległymi:
Skoro prosta ma być równoległa to współczynniki a i b są takie same:
Zadanie 6.1.
91Zadanie 6.2.
91Zadanie 6.3.
91Zadanie 6.4.
91Zadanie 6.5.
91Zadanie 6.6.
91Zadanie 6.8.
91Zadanie 6.9.
92Zadanie 6.10.
92Zadanie 6.14.
92Zadanie 6.16.
92Zadanie 6.17.
92Zadanie 6.18.
93Zadanie 6.19.
93Zadanie 6.20.
93Zadanie 6.21.
93Zadanie 6.22.
93Zadanie 6.23.
93Zadanie 6.24.
93Zadanie 6.25.
93Zadanie 6.26.
93Zadanie 6.27.
94Zadanie 6.29.
94Zadanie 6.30.
94Zadanie 6.31.
94Zadanie 6.32.
94Zadanie 6.33.
94Zadanie 6.36.
95Zadanie 6.38.
95Zadanie 6.39.
95Zadanie 6.42.
95Zadanie 6.43.
95Zadanie 6.44.
95Zadanie 6.51.
96Zadanie 6.52.
96Zadanie 6.53.
96Zadanie 6.54.
96Zadanie 6.57.
97Zadanie 6.58.
97Zadanie 6.59.
97Zadanie 6.60.
97Zadanie 6.61.
97Zadanie 6.62.
97Zadanie 6.63.
97Zadanie 6.64.
98Zadanie 6.65
98Zadanie 6.66.
98Zadanie 6.67.
98Zadanie 6.68
98Zadanie 6.69.
98Zadanie 6.70.
98Zadanie 6.75.
99Zadanie 6.76.
99Zadanie 6.77.
99Zadanie 6.78.
99Zadanie 6.79.
99Zadanie 6.86.
100Zadanie 6.89.
100Zadanie 6.91.
101Zadanie 6.93.
101Zadanie 6.96.
101Zadanie 6.97.
101Zadanie 6.98.
102Zadanie 6.99.
102Zadanie 6.100.
102Zadanie 6.102.
102Zadanie 6.104.
102Zadanie 6.105.
102Zadanie 6.106.
102Zadanie 6.107.
103Zadanie 6.108.
103Zadanie 6.109.
103Zadanie 6.110.
103Zadanie 6.111.
103Zadanie 6.112.
103Zadanie 6.113.
103Zadanie 6.114.
104Zadanie 12.
105Zadanie 16.
105Zadanie 17.
105Zadanie 21.
106Zadanie 22.
106