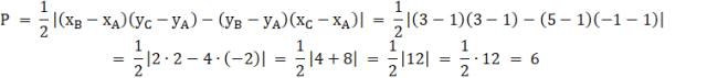
W tym zadaniu musisz obliczyć pole trójkąta.
Zadanie 6.1.
91Zadanie 6.2.
91Zadanie 6.3.
91Zadanie 6.4.
91Zadanie 6.5.
91Zadanie 6.6.
91Zadanie 6.8.
91Zadanie 6.9.
92Zadanie 6.10.
92Zadanie 6.14.
92Zadanie 6.16.
92Zadanie 6.17.
92Zadanie 6.18.
93Zadanie 6.19.
93Zadanie 6.20.
93Zadanie 6.21.
93Zadanie 6.22.
93Zadanie 6.23.
93Zadanie 6.24.
93Zadanie 6.25.
93Zadanie 6.26.
93Zadanie 6.27.
94Zadanie 6.29.
94Zadanie 6.30.
94Zadanie 6.31.
94Zadanie 6.32.
94Zadanie 6.33.
94Zadanie 6.36.
95Zadanie 6.38.
95Zadanie 6.39.
95Zadanie 6.42.
95Zadanie 6.43.
95Zadanie 6.44.
95Zadanie 6.51.
96Zadanie 6.52.
96Zadanie 6.53.
96Zadanie 6.54.
96Zadanie 6.57.
97Zadanie 6.58.
97Zadanie 6.59.
97Zadanie 6.60.
97Zadanie 6.61.
97Zadanie 6.62.
97Zadanie 6.63.
97Zadanie 6.64.
98Zadanie 6.65
98Zadanie 6.66.
98Zadanie 6.67.
98Zadanie 6.68
98Zadanie 6.69.
98Zadanie 6.70.
98Zadanie 6.75.
99Zadanie 6.76.
99Zadanie 6.77.
99Zadanie 6.78.
99Zadanie 6.79.
99Zadanie 6.86.
100Zadanie 6.89.
100Zadanie 6.91.
101Zadanie 6.93.
101Zadanie 6.96.
101Zadanie 6.97.
101Zadanie 6.98.
102Zadanie 6.99.
102Zadanie 6.100.
102Zadanie 6.102.
102Zadanie 6.104.
102Zadanie 6.105.
102Zadanie 6.106.
102Zadanie 6.107.
103Zadanie 6.108.
103Zadanie 6.109.
103Zadanie 6.110.
103Zadanie 6.111.
103Zadanie 6.112.
103Zadanie 6.113.
103Zadanie 6.114.
104Zadanie 12.
105Zadanie 16.
105Zadanie 17.
105Zadanie 21.
106Zadanie 22.
106