1. F
2. P
3. P
4. F
5. P
6. P
Dotyczy zdania 1.:
Dotyczy zdania 2.:
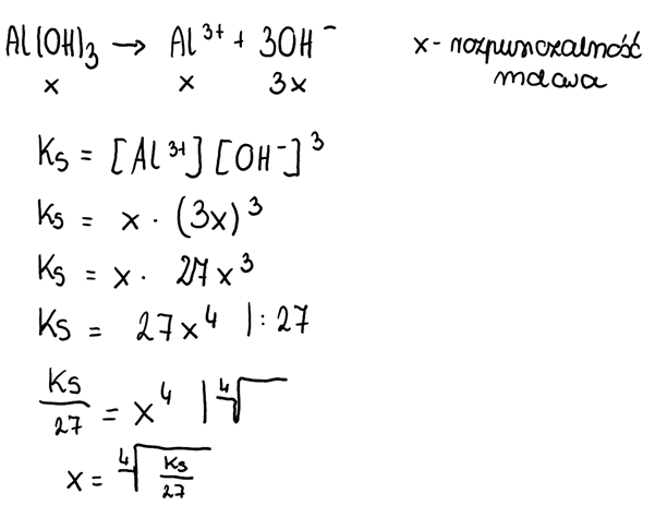
Iloczyn rozpuszczalności to iloczyn stężeń jonów, na które rozpada się trudno rozpuszczalny związek chemiczny.
Jeśli w równaniu rozpadu na jony którykolwiek jon ma współczynnik stechiometryczny inny niż 1, wówczas do takiej potęgi podnosimy stężenie tego jonu.
Dotyczy zdania 3.:
Aby udowodnić odczyn roztworu soli, należy przeprowadzić jej reakcję z wodą- jest to tzw. reakcja hydrolizy.
Jeśli w reakcji, w produktach wyodrębniają się jony H+, to roztwór ten ma odczyn kwasowy, a hydrolizę taką nazywamy kationową. Dotyczy ona soli mocnego kwasu i słabej zasady.
Jeśli w reakcji, w produktach wyodrębniają się jony OH-, to roztwór ten ma odczyn zasadowy, a hydrolizę taką nazywamy anionową. Dotyczy ona soli słabego kwasu i mocnej zasady.
Dotyczy zdania 4.:
Glin w kontakcie ze stężonym kwasem azotowym (V) pasywuje, czyli pokrywa się ochronną warstwą tlenku, w związku z czym staje się bierny chemicznie, zatem można tworzyć z niego cysterny do przewożenia opisywanego kwasu.
Dotyczy zdania 5.:
Glin reaguje z kwasami, w związku z czym garnek z niego wykonany nie nadaje się do gotowania kwaśnych potraw. Doszłoby wówczas do naruszenia warstwy tlenku, którym pokrywa się naczynia, przejścia kationów glinu do roztworu, co zaszkodziłoby smakowi potraw oraz bezpieczeństwu ich spożycia.