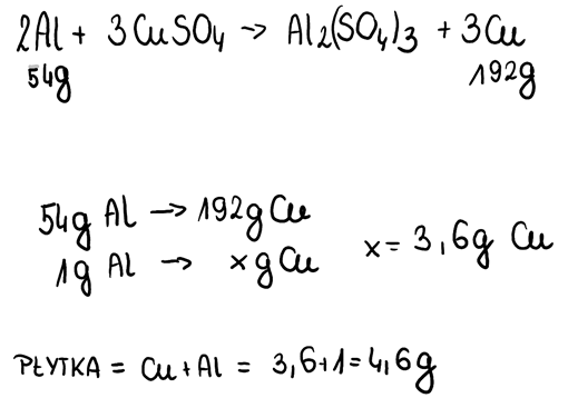
1. Obliczamy, ile miedzi musi powstać w reakcji (osadzić się na płytce), jeśli w reakcji wziął udział 1g glinu. Korzystamy w tym celu ze stechiometrii wynikającej z równania reakcji.
2. Wiedząc, że masę płytki stanowi sama płytka (masa glinu, która nie przereagowała) oraz miedź, która się na niej osadziła, obliczamy tę wielkość.