Odpowiedź A
Aby odpowiedzieć na to pytanie, należy z tablic maturalnych, podręczników bądź Internetu zaczerpnąć wartości iloczynu rozpuszczalności tych soli- wielkość ta jest miarą zdolności związku trudno rozpuszczalnego do rozpuszczania się w wodzie.
Iloczyn rozpuszczalności to iloczyn stężeń jonów, na które rozpada się trudno rozpuszczalny związek chemiczny.
Jeśli w równaniu rozpadu na jony którykolwiek jon ma współczynnik stechiometryczny inny niż 1, wówczas do takiej potęgi podnosimy stężenie tego jonu.
X w każdym z wyrażeń poniżej to rozpuszczalność molowa danego związku. Im wyższa jej wartość, tym lepiej rozpuszczalny dany związek.
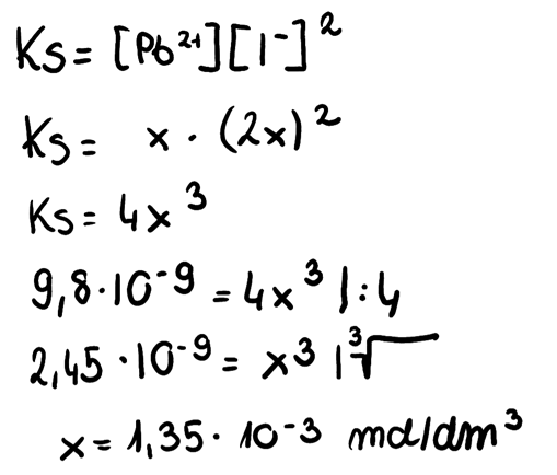
Dotyczy odpowiedzi A:
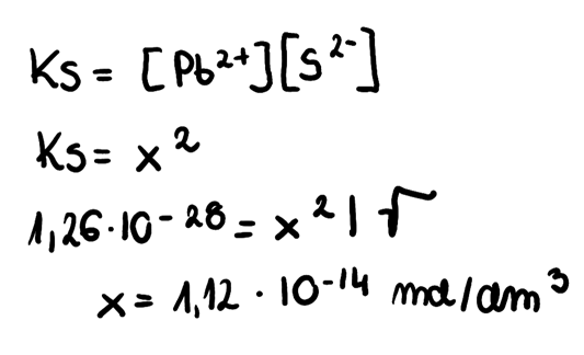
Dotyczy odpowiedzi B:
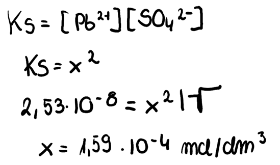
Dotyczy odpowiedzi C:
Dotyczy odpowiedzi D: