Oceń, czy uczniowie na podstawie opisanego doświadczenia mogli ustalić skład stopu. Jeśli tak, oblicz jego skład procentowy. Jeśli nie, określ, jaką jeszcze próbę powinni w tym celu wykonać.
Rozwiązanie
NIE
Aby móc wyznaczyć skład procentowy badanego stopu, należałoby jeszcze zważyć pozostałość, jaka została w naczyniu po dodaniu kwasu solnego.
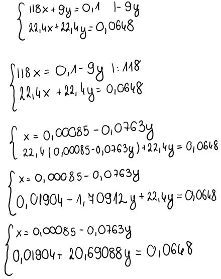
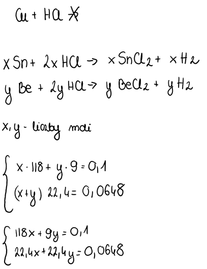
Gdyby masa pozostałości po reakcji wynosiła 0,9g, można byłoby dokonać następujących obliczeń: