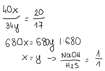
1. Obliczamy stosunek molowy NaOH i H2S, znając ich stosunek masowy:
2. Zapisujemy interesujące nas równanie reakcji, znając stosunek molowy substratów:
3. Z przekształconego wzoru na stężenie molowe obliczamy liczbę moli NaOH biorącego udział w reakcji:
4. Wiedząc, że stosunek molowy substratów wynosi 1:1, mamy informację, że H2S jest tyle samo, co NaOH – 0,15 mola.
5. Korzystając z przekształconego równania Clapeyrona, obliczamy objętość siarkowodoru użytego w reakcji: