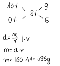
1. Korzystając z krzyża Andrzeja należy ustalić, w jakim stosunku masowym zmieszano ze sobą wodę (zakładamy dla niej stężenie 0%) i związek XYZ.
2. Z przekształconego wzoru na gęstość obliczamy masę roztworu.
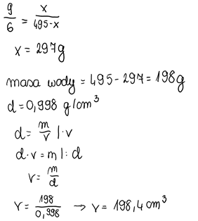
3. Obliczamy masę wody, znając masę roztworu i zużytej substancji.
4. Obliczamy z przekształconego wzoru na gęstość objętość wody.