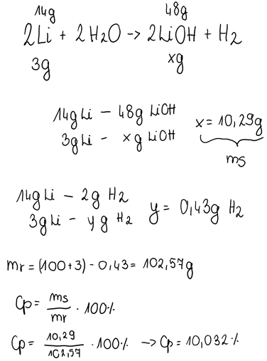
1. Zapisujemy równanie zachodzącej reakcji.
2. Substancją, dla której stężenie procentowe liczymy, jest powstały NaOH. Z proporcji obliczamy jego masę.
3. Obliczamy, zważając na stechiometrię reakcji, jaka jest masa wydzielającego się wodoru, ponieważ będzie to stanowić ubytek masy roztworu.
4. Obliczamy masę roztworu, odejmując od sumy mas substancji rozpuszczonej w wodzie, masę gazu, który opuścił naczynie.
5. Obliczamy stężenie procentowe roztworu.