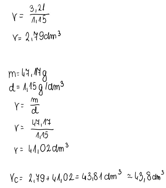
Oblicz objętość azotu wydzielonego w reakcji.
W zadaniu należy pamiętać o tym, iż azot powstaje w dwóch reakcjach chemicznych- objętości te trzeba do siebie dodać.
Ćwiczenie 14.1.
Ćwiczenie 14.2.
Ćwiczenie 14.3.
Ćwiczenie 14.4.
Ćwiczenie 14.5.
Ćwiczenie 14.6.
Ćwiczenie 14.7.
Ćwiczenie 14.8.
Ćwiczenie 14.9.
Ćwiczenie 14.10.
Podpunkt a)
Podpunkt b)
Podpunkt c)
Ćwiczenie 14.11.
Ćwiczenie 14.12.
Ćwiczenie 14.13.
Podpunkt d)
Podpunkt e)
Podpunkt f)
Ćwiczenie 14.14.
Ćwiczenie 15.1.
Ćwiczenie 15.2.
Ćwiczenie 15.3.
Ćwiczenie 15.4.
Ćwiczenie 15.5.
Ćwiczenie 15.6.
Ćwiczenie 15.7.
Ćwiczenie 15.8.
Ćwiczenie 15.9.
Ćwiczenie 15.10.
Ćwiczenie 15.11.
Ćwiczenie 15.12.
Ćwiczenie 15.13.
Ćwiczenie 16.1.
Ćwiczenie 16.2.
Ćwiczenie 16.3.
Ćwiczenie 16.4.
Ćwiczenie 16.5.
Ćwiczenie 16.6.
Ćwiczenie 16.7.
Ćwiczenie 16.8.
Ćwiczenie 16.9.
Ćwiczenie 16.10.
Ćwiczenie 16.11.
Ćwiczenie 16.12.
Ćwiczenie 16.13.
Ćwiczenie 17.1.
Ćwiczenie 17.2.
Ćwiczenie 17.3.
Ćwiczenie 17.4.
Ćwiczenie 17.5.
Ćwiczenie 17.6.
Ćwiczenie 17.7.
Ćwiczenie 17.8.
Ćwiczenie 17.9.
Ćwiczenie 17.10.
Ćwiczenie 18.1.
Ćwiczenie 18.2.
Ćwiczenie 18.3.
Ćwiczenie 18.4.