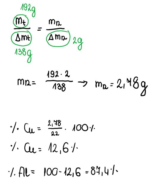
Legenda:
· mt- masa teoretyczna- masa tego, co osadziło się na płytce, zaczerpnięta z układu okresowego;
· Dmt – teoretyczna różnica masy- różnica pomiędzy masą płytki, a tym, co się na nią osadziło (bazujemy na stechiometrii reakcji);
· mrz- masa rzeczywista- masa tego, co osadziło się na płytce, zaczerpnięta z treści zadania (dotyczy warunków opisanych w zadaniu);
· Dmrz – rzeczywista różnica masy- różnica pomiędzy masą płytki, a tym, co się na nią osadziło (bazujemy na danych zawartych w treści zadania).