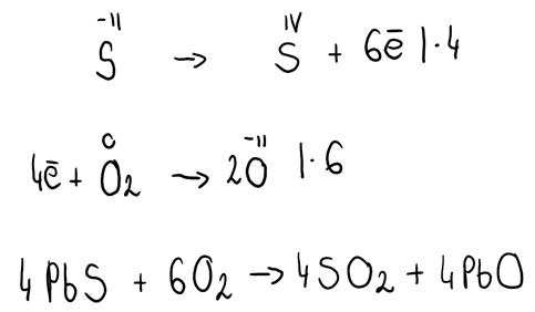
Uzgodnij równanie reakcji metodą bilansu elektronowego. Podaj nazwy związków zawierających ołów lub cynę, biorące udział w tej reakcji. Wskaż utleniacz i reduktor.
· Utleniacz: tlen
· Reduktor: siarczek ołowiu (II)
· PbS- siarczek ołowiu
· PbO- tlenek ołowiu
Ćwiczenie 14.1.
Ćwiczenie 14.2.
Ćwiczenie 14.3.
Ćwiczenie 14.4.
Ćwiczenie 14.5.
Ćwiczenie 14.6.
Ćwiczenie 14.7.
Ćwiczenie 14.8.
Ćwiczenie 14.9.
Ćwiczenie 14.10.
Podpunkt a)
Podpunkt b)
Podpunkt c)
Ćwiczenie 14.11.
Ćwiczenie 14.12.
Ćwiczenie 14.13.
Podpunkt d)
Podpunkt e)
Podpunkt f)
Ćwiczenie 14.14.
Ćwiczenie 15.1.
Ćwiczenie 15.2.
Ćwiczenie 15.3.
Ćwiczenie 15.4.
Ćwiczenie 15.5.
Ćwiczenie 15.6.
Ćwiczenie 15.7.
Ćwiczenie 15.8.
Ćwiczenie 15.9.
Ćwiczenie 15.10.
Ćwiczenie 15.11.
Ćwiczenie 15.12.
Ćwiczenie 15.13.
Ćwiczenie 16.1.
Ćwiczenie 16.2.
Ćwiczenie 16.3.
Ćwiczenie 16.4.
Ćwiczenie 16.5.
Ćwiczenie 16.6.
Ćwiczenie 16.7.
Ćwiczenie 16.8.
Ćwiczenie 16.9.
Ćwiczenie 16.10.
Ćwiczenie 16.11.
Ćwiczenie 16.12.
Ćwiczenie 16.13.
Ćwiczenie 17.1.
Ćwiczenie 17.2.
Ćwiczenie 17.3.
Ćwiczenie 17.4.
Ćwiczenie 17.5.
Ćwiczenie 17.6.
Ćwiczenie 17.7.
Ćwiczenie 17.8.
Ćwiczenie 17.9.
Ćwiczenie 17.10.
Ćwiczenie 18.1.
Ćwiczenie 18.2.
Ćwiczenie 18.3.
Ćwiczenie 18.4.