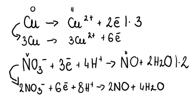
Napisz równanie reakcji otrzymywania azotanu (V) miedzi (II) w reakcji miedzi z rozcieńczonym HNO3. Uzgodnij równanie metodą bilansu jonowo-elektronowego.
Ćwiczenie 14.1.
Ćwiczenie 14.2.
Ćwiczenie 14.3.
Ćwiczenie 14.4.
Ćwiczenie 14.5.
Ćwiczenie 14.6.
Ćwiczenie 14.7.
Ćwiczenie 14.8.
Ćwiczenie 14.9.
Ćwiczenie 14.10.
Podpunkt a)
Podpunkt b)
Podpunkt c)
Ćwiczenie 14.11.
Ćwiczenie 14.12.
Ćwiczenie 14.13.
Podpunkt d)
Podpunkt e)
Podpunkt f)
Ćwiczenie 14.14.
Ćwiczenie 15.1.
Ćwiczenie 15.2.
Ćwiczenie 15.3.
Ćwiczenie 15.4.
Ćwiczenie 15.5.
Ćwiczenie 15.6.
Ćwiczenie 15.7.
Ćwiczenie 15.8.
Ćwiczenie 15.9.
Ćwiczenie 15.10.
Ćwiczenie 15.11.
Ćwiczenie 15.12.
Ćwiczenie 15.13.
Ćwiczenie 16.1.
Ćwiczenie 16.2.
Ćwiczenie 16.3.
Ćwiczenie 16.4.
Ćwiczenie 16.5.
Ćwiczenie 16.6.
Ćwiczenie 16.7.
Ćwiczenie 16.8.
Ćwiczenie 16.9.
Ćwiczenie 16.10.
Ćwiczenie 16.11.
Ćwiczenie 16.12.
Ćwiczenie 16.13.
Ćwiczenie 17.1.
Ćwiczenie 17.2.
Ćwiczenie 17.3.
Ćwiczenie 17.4.
Ćwiczenie 17.5.
Ćwiczenie 17.6.
Ćwiczenie 17.7.
Ćwiczenie 17.8.
Ćwiczenie 17.9.
Ćwiczenie 17.10.
Ćwiczenie 18.1.
Ćwiczenie 18.2.
Ćwiczenie 18.3.
Ćwiczenie 18.4.