Wyznacz brakujące długości boków i miary kątów trójkąta ABC, jeżeli |AC| =
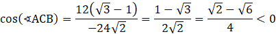
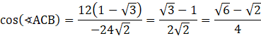
Dla
Dla
lub
Dla dowolnego trójkąta kwadrat jednego z boków jest równy sumie kwadratów dwóch pozostałych odjąć podwojony iloczyn długości tych boków oraz cosinusa kąta między nimi.
Zadanie 5.
226Zadanie 6.
226Ćwiczenie 1.
227Ćwiczenie 2.
227Ćwiczenie 3.
227Ćwiczenie 5.
228Zadanie 5.
229Zadanie 6.
229Zadanie 7.
229Zadanie 8.
229Ćwiczenie 2.
230Ćwiczenie 3.
231Ćwiczenie 4.
232Ćwiczenie 5.
232Ćwiczenie 6.
233Zadanie 1.
233Ćwiczenie 1.
235Ćwiczenie 2.
235Ćwiczenie 3.
235Ćwiczenie 6.
237Ćwiczenie 7.
237Zadanie 1.
237Zadanie 2.
237Zadanie 3.
238Zadanie 4.
238Zadanie 5.
238Zadanie 6.
238Zadanie 7.
238Zadanie 9.
239Zadanie 11.
239Zadanie 12.
239Ćwiczenie 3.
240Ćwiczenie 4.
241Ćwiczenie 5.
241Ćwiczenie 7.
242Ćwiczenie 10.
242Zadanie 1.
243Zadanie 5.
243Zadanie 6.
243Zadanie 7.
243Ćwiczenie 2.
244Ćwiczenie 4.
245Ćwiczenie 5.
245Ćwiczenie 8.
246Ćwiczenie 9.
246Ćwiczenie 10.
246Ćwiczenie 11.
246Zadanie 2.
247Zadanie 3.
247Zadanie 6.
247Ćwiczenie 2.
249Ćwiczenie 3.
249Ćwiczenie 4.
249Ćwiczenie 7.
250Zadanie 1.
250Zadanie 2.
250Zadanie 3.
250Zadanie 4.
251Zadanie 5.
251Zadanie 6.
251Zadanie 8.
251Ćwiczenie 3.
253Ćwiczenie 5.
254Zadanie 1.
254Zadanie 4.
255Zadanie 7.
255Zadanie 10.
255Ćwiczenie 1.
257Ćwiczenie 2.
257Ćwiczenie 4.
258Ćwiczenie 5.
258Zadanie 1.
258Zadanie 2.
258Zadanie 3.
258Zadanie 5.
259Zadanie 12.
259Ćwiczenie 1.
262Ćwiczenie 2.
263Ćwiczenie 3.
263Ćwiczenie 4.
264Zadanie 1.
264Zadanie 2.
264Zadanie 3.
264Zadanie 4.
264Zadanie 6.
265Zadanie 7.
265Zadanie 12.
265Ćwiczenie 3.
267Ćwiczenie 4.
268Zadanie 1.
268Zadanie 2.
268Zadanie 3.
268Zadanie 4.
268Zadanie 5.
268Zadanie 6.
268Zadanie 7.
268Ćwiczenie 1.
269Ćwiczenie 3.
269Ćwiczenie 4.
270Ćwiczenie 6.
271Zadanie 1.
271Zadanie 2.
271Zadanie 3.
272Zadanie 4.
272Zadanie 5.
272Zadanie 6.
272Zadanie 6.
275Zadanie 1.
276Zadanie 2.
276Zadanie 4.
276Zadanie 5.
276Zadanie 11.
277Zadanie 12.
277Zadanie 3.
277Zadanie 4.
278Zadanie 5.
278Zadanie 6.
278Zadanie 9.
278Zadanie 11.
278