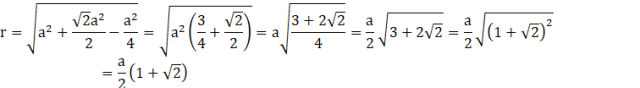
Pokaż, że promień okręgu wpisanego w ośmiokąt foremny o boku a wynosi
Promień okręgu wpisanego w ośmiokąt foremny o boku a wynosi
Przekątne dzielą ośmiokąt foremny o boku długości a na 8 przystających trójkątów równoramiennych, których ramię ma długość x. Kąt między ramionami każdego z trójkątów jest równy. Zauważamy że ten kąt mam miarę
Zadanie 5.
226Zadanie 6.
226Ćwiczenie 1.
227Ćwiczenie 2.
227Ćwiczenie 3.
227Ćwiczenie 5.
228Zadanie 5.
229Zadanie 6.
229Zadanie 7.
229Zadanie 8.
229Ćwiczenie 2.
230Ćwiczenie 3.
231Ćwiczenie 4.
232Ćwiczenie 5.
232Ćwiczenie 6.
233Zadanie 1.
233Ćwiczenie 1.
235Ćwiczenie 2.
235Ćwiczenie 3.
235Ćwiczenie 6.
237Ćwiczenie 7.
237Zadanie 1.
237Zadanie 2.
237Zadanie 3.
238Zadanie 4.
238Zadanie 5.
238Zadanie 6.
238Zadanie 7.
238Zadanie 9.
239Zadanie 11.
239Zadanie 12.
239Ćwiczenie 3.
240Ćwiczenie 4.
241Ćwiczenie 5.
241Ćwiczenie 7.
242Ćwiczenie 10.
242Zadanie 1.
243Zadanie 5.
243Zadanie 6.
243Zadanie 7.
243Ćwiczenie 2.
244Ćwiczenie 4.
245Ćwiczenie 5.
245Ćwiczenie 8.
246Ćwiczenie 9.
246Ćwiczenie 10.
246Ćwiczenie 11.
246Zadanie 2.
247Zadanie 3.
247Zadanie 6.
247Ćwiczenie 2.
249Ćwiczenie 3.
249Ćwiczenie 4.
249Ćwiczenie 7.
250Zadanie 1.
250Zadanie 2.
250Zadanie 3.
250Zadanie 4.
251Zadanie 5.
251Zadanie 6.
251Zadanie 8.
251Ćwiczenie 3.
253Ćwiczenie 5.
254Zadanie 1.
254Zadanie 4.
255Zadanie 7.
255Zadanie 10.
255Ćwiczenie 1.
257Ćwiczenie 2.
257Ćwiczenie 4.
258Ćwiczenie 5.
258Zadanie 1.
258Zadanie 2.
258Zadanie 3.
258Zadanie 5.
259Zadanie 12.
259Ćwiczenie 1.
262Ćwiczenie 2.
263Ćwiczenie 3.
263Ćwiczenie 4.
264Zadanie 1.
264Zadanie 2.
264Zadanie 3.
264Zadanie 4.
264Zadanie 6.
265Zadanie 7.
265Zadanie 12.
265Ćwiczenie 3.
267Ćwiczenie 4.
268Zadanie 1.
268Zadanie 2.
268Zadanie 3.
268Zadanie 4.
268Zadanie 5.
268Zadanie 6.
268Zadanie 7.
268Ćwiczenie 1.
269Ćwiczenie 3.
269Ćwiczenie 4.
270Ćwiczenie 6.
271Zadanie 1.
271Zadanie 2.
271Zadanie 3.
272Zadanie 4.
272Zadanie 5.
272Zadanie 6.
272Zadanie 6.
275Zadanie 1.
276Zadanie 2.
276Zadanie 4.
276Zadanie 5.
276Zadanie 11.
277Zadanie 12.
277Zadanie 3.
277Zadanie 4.
278Zadanie 5.
278Zadanie 6.
278Zadanie 9.
278Zadanie 11.
278