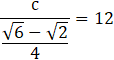
Wylicz wartość obwodu trójkąta wpisanego w okrąg o promieniu 6 cm, jeżeli α =
Stosunki długości boków do sinusów przeciwległych kątów w dowolnym trójkącie, są równe średnicy okręgu opisanego na tym trójkącie.
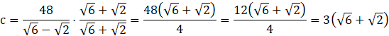
Korzystamy również, ze wzoru na sinus różnicy kąta
Zadanie 5.
226Zadanie 6.
226Ćwiczenie 1.
227Ćwiczenie 2.
227Ćwiczenie 3.
227Ćwiczenie 5.
228Zadanie 5.
229Zadanie 6.
229Zadanie 7.
229Zadanie 8.
229Ćwiczenie 2.
230Ćwiczenie 3.
231Ćwiczenie 4.
232Ćwiczenie 5.
232Ćwiczenie 6.
233Zadanie 1.
233Ćwiczenie 1.
235Ćwiczenie 2.
235Ćwiczenie 3.
235Ćwiczenie 6.
237Ćwiczenie 7.
237Zadanie 1.
237Zadanie 2.
237Zadanie 3.
238Zadanie 4.
238Zadanie 5.
238Zadanie 6.
238Zadanie 7.
238Zadanie 9.
239Zadanie 11.
239Zadanie 12.
239Ćwiczenie 3.
240Ćwiczenie 4.
241Ćwiczenie 5.
241Ćwiczenie 7.
242Ćwiczenie 10.
242Zadanie 1.
243Zadanie 5.
243Zadanie 6.
243Zadanie 7.
243Ćwiczenie 2.
244Ćwiczenie 4.
245Ćwiczenie 5.
245Ćwiczenie 8.
246Ćwiczenie 9.
246Ćwiczenie 10.
246Ćwiczenie 11.
246Zadanie 2.
247Zadanie 3.
247Zadanie 6.
247Ćwiczenie 2.
249Ćwiczenie 3.
249Ćwiczenie 4.
249Ćwiczenie 7.
250Zadanie 1.
250Zadanie 2.
250Zadanie 3.
250Zadanie 4.
251Zadanie 5.
251Zadanie 6.
251Zadanie 8.
251Ćwiczenie 3.
253Ćwiczenie 5.
254Zadanie 1.
254Zadanie 4.
255Zadanie 7.
255Zadanie 10.
255Ćwiczenie 1.
257Ćwiczenie 2.
257Ćwiczenie 4.
258Ćwiczenie 5.
258Zadanie 1.
258Zadanie 2.
258Zadanie 3.
258Zadanie 5.
259Zadanie 12.
259Ćwiczenie 1.
262Ćwiczenie 2.
263Ćwiczenie 3.
263Ćwiczenie 4.
264Zadanie 1.
264Zadanie 2.
264Zadanie 3.
264Zadanie 4.
264Zadanie 6.
265Zadanie 7.
265Zadanie 12.
265Ćwiczenie 3.
267Ćwiczenie 4.
268Zadanie 1.
268Zadanie 2.
268Zadanie 3.
268Zadanie 4.
268Zadanie 5.
268Zadanie 6.
268Zadanie 7.
268Ćwiczenie 1.
269Ćwiczenie 3.
269Ćwiczenie 4.
270Ćwiczenie 6.
271Zadanie 1.
271Zadanie 2.
271Zadanie 3.
272Zadanie 4.
272Zadanie 5.
272Zadanie 6.
272Zadanie 6.
275Zadanie 1.
276Zadanie 2.
276Zadanie 4.
276Zadanie 5.
276Zadanie 11.
277Zadanie 12.
277Zadanie 3.
277Zadanie 4.
278Zadanie 5.
278Zadanie 6.
278Zadanie 9.
278Zadanie 11.
278