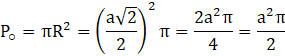
Odejmij od siebie wartości pola powierzchni kwadratu o boku a oraz koła na nim opisanego.
Średnicą koło opisanego na kwadracie jest jego przekątna. Obliczamy oba pola i ich różnicę.
Zadanie 5.
226Zadanie 6.
226Ćwiczenie 1.
227Ćwiczenie 2.
227Ćwiczenie 3.
227Ćwiczenie 5.
228Zadanie 5.
229Zadanie 6.
229Zadanie 7.
229Zadanie 8.
229Ćwiczenie 2.
230Ćwiczenie 3.
231Ćwiczenie 4.
232Ćwiczenie 5.
232Ćwiczenie 6.
233Zadanie 1.
233Ćwiczenie 1.
235Ćwiczenie 2.
235Ćwiczenie 3.
235Ćwiczenie 6.
237Ćwiczenie 7.
237Zadanie 1.
237Zadanie 2.
237Zadanie 3.
238Zadanie 4.
238Zadanie 5.
238Zadanie 6.
238Zadanie 7.
238Zadanie 9.
239Zadanie 11.
239Zadanie 12.
239Ćwiczenie 3.
240Ćwiczenie 4.
241Ćwiczenie 5.
241Ćwiczenie 7.
242Ćwiczenie 10.
242Zadanie 1.
243Zadanie 5.
243Zadanie 6.
243Zadanie 7.
243Ćwiczenie 2.
244Ćwiczenie 4.
245Ćwiczenie 5.
245Ćwiczenie 8.
246Ćwiczenie 9.
246Ćwiczenie 10.
246Ćwiczenie 11.
246Zadanie 2.
247Zadanie 3.
247Zadanie 6.
247Ćwiczenie 2.
249Ćwiczenie 3.
249Ćwiczenie 4.
249Ćwiczenie 7.
250Zadanie 1.
250Zadanie 2.
250Zadanie 3.
250Zadanie 4.
251Zadanie 5.
251Zadanie 6.
251Zadanie 8.
251Ćwiczenie 3.
253Ćwiczenie 5.
254Zadanie 1.
254Zadanie 4.
255Zadanie 7.
255Zadanie 10.
255Ćwiczenie 1.
257Ćwiczenie 2.
257Ćwiczenie 4.
258Ćwiczenie 5.
258Zadanie 1.
258Zadanie 2.
258Zadanie 3.
258Zadanie 5.
259Zadanie 12.
259Ćwiczenie 1.
262Ćwiczenie 2.
263Ćwiczenie 3.
263Ćwiczenie 4.
264Zadanie 1.
264Zadanie 2.
264Zadanie 3.
264Zadanie 4.
264Zadanie 6.
265Zadanie 7.
265Zadanie 12.
265Ćwiczenie 3.
267Ćwiczenie 4.
268Zadanie 1.
268Zadanie 2.
268Zadanie 3.
268Zadanie 4.
268Zadanie 5.
268Zadanie 6.
268Zadanie 7.
268Ćwiczenie 1.
269Ćwiczenie 3.
269Ćwiczenie 4.
270Ćwiczenie 6.
271Zadanie 1.
271Zadanie 2.
271Zadanie 3.
272Zadanie 4.
272Zadanie 5.
272Zadanie 6.
272Zadanie 6.
275Zadanie 1.
276Zadanie 2.
276Zadanie 4.
276Zadanie 5.
276Zadanie 11.
277Zadanie 12.
277Zadanie 3.
277Zadanie 4.
278Zadanie 5.
278Zadanie 6.
278Zadanie 9.
278Zadanie 11.
278