Uzasadnij, że wysokość trapezu równoramiennego jest średnią geometryczną długości jego podstaw, gdy można wpisać w niego okrąg.
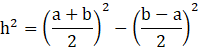
Oznaczmy przez c długości ramion tego trapezu.
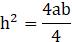
Odpowiedź: Gdy w trapez równoramienny da się wpisać okrąg, to jego wysokość wyznaczamy ze wzoru
Korzystamy z twierdzenia o okręgu wpisanym na czworokącie. Podstawiamy do twierdzenia Pitagorasa wysokość, długość ramienia oraz odcinek łączący wierzchołek i spodek wysokości. Wliczamy z niego h, a następnie podstawiamy wyliczone h stwierdzenia o okręgu pisanym W czworokąt.
Zadanie 5.
226Zadanie 6.
226Ćwiczenie 1.
227Ćwiczenie 2.
227Ćwiczenie 3.
227Ćwiczenie 5.
228Zadanie 5.
229Zadanie 6.
229Zadanie 7.
229Zadanie 8.
229Ćwiczenie 2.
230Ćwiczenie 3.
231Ćwiczenie 4.
232Ćwiczenie 5.
232Ćwiczenie 6.
233Zadanie 1.
233Ćwiczenie 1.
235Ćwiczenie 2.
235Ćwiczenie 3.
235Ćwiczenie 6.
237Ćwiczenie 7.
237Zadanie 1.
237Zadanie 2.
237Zadanie 3.
238Zadanie 4.
238Zadanie 5.
238Zadanie 6.
238Zadanie 7.
238Zadanie 9.
239Zadanie 11.
239Zadanie 12.
239Ćwiczenie 3.
240Ćwiczenie 4.
241Ćwiczenie 5.
241Ćwiczenie 7.
242Ćwiczenie 10.
242Zadanie 1.
243Zadanie 5.
243Zadanie 6.
243Zadanie 7.
243Ćwiczenie 2.
244Ćwiczenie 4.
245Ćwiczenie 5.
245Ćwiczenie 8.
246Ćwiczenie 9.
246Ćwiczenie 10.
246Ćwiczenie 11.
246Zadanie 2.
247Zadanie 3.
247Zadanie 6.
247Ćwiczenie 2.
249Ćwiczenie 3.
249Ćwiczenie 4.
249Ćwiczenie 7.
250Zadanie 1.
250Zadanie 2.
250Zadanie 3.
250Zadanie 4.
251Zadanie 5.
251Zadanie 6.
251Zadanie 8.
251Ćwiczenie 3.
253Ćwiczenie 5.
254Zadanie 1.
254Zadanie 4.
255Zadanie 7.
255Zadanie 10.
255Ćwiczenie 1.
257Ćwiczenie 2.
257Ćwiczenie 4.
258Ćwiczenie 5.
258Zadanie 1.
258Zadanie 2.
258Zadanie 3.
258Zadanie 5.
259Zadanie 12.
259Ćwiczenie 1.
262Ćwiczenie 2.
263Ćwiczenie 3.
263Ćwiczenie 4.
264Zadanie 1.
264Zadanie 2.
264Zadanie 3.
264Zadanie 4.
264Zadanie 6.
265Zadanie 7.
265Zadanie 12.
265Ćwiczenie 3.
267Ćwiczenie 4.
268Zadanie 1.
268Zadanie 2.
268Zadanie 3.
268Zadanie 4.
268Zadanie 5.
268Zadanie 6.
268Zadanie 7.
268Ćwiczenie 1.
269Ćwiczenie 3.
269Ćwiczenie 4.
270Ćwiczenie 6.
271Zadanie 1.
271Zadanie 2.
271Zadanie 3.
272Zadanie 4.
272Zadanie 5.
272Zadanie 6.
272Zadanie 6.
275Zadanie 1.
276Zadanie 2.
276Zadanie 4.
276Zadanie 5.
276Zadanie 11.
277Zadanie 12.
277Zadanie 3.
277Zadanie 4.
278Zadanie 5.
278Zadanie 6.
278Zadanie 9.
278Zadanie 11.
278