ODP: Szukaną wartością
jest -4.
Zauważ, że szukasz
dla którego spełnione są poniższe warunki:
– aby równanie było kwadratowe, to współczynnik stojący przy
nie może się wyzerować
– aby równanie miało dwa rozwiązania, to delta musi być większa od zera
– aby oba rozwiązania były dodatnie, to ich iloczyn musi być liczbą większą od zera
– aby oba rozwiązania były dodatnie, to ich suma musi być liczbą większą od zera
– jedno z rozwiązań musi być dwa razy większe od drugiego
Oblicz dla jakich wartości
spełniony jest pierwszy warunek.
Oblicz deltę i miejsca zerowe powyższego równania.
Oznacza to, że wartość
nie może być równa:
Oblicz dla jakich
spełniony jest drugi warunek.
Oblicz deltę z początkowego równania.
Oblicz deltę z delty i jej miejsca zerowe.
Zaznacz obliczone rozwiązania na osi i przedziały, gdy wykres jest nad osią. Ramiona paraboli skieruj do dołu, ponieważ współczynnik stojący przy
z największą potęgą jest ujemny.
Oblicz dla jakich
spełniony jest trzeci warunek.
Skorzystaj ze wzorów Viete’a na iloczyn rozwiązań.
Pomnóż całą nierówność przez kwadrat mianownika ułamka znajdującego się z lewej strony nierówności. Zauważ, że możesz to zrobić, ponieważ kwadrat jakiejkolwiek liczby jest zawsze dodatni, więc znak nierówności nie zmieni się.
Zauważ, że powstała nierówność ma takie same rozwiązania jak równanie z warunku I. Nie musisz więc obliczać delty, ponieważ znasz już jego miejsca zerowe.
Zaznacz obliczone rozwiązania na osi i przedziały, gdy wykres jest nad osią. Ramiona paraboli skieruj do góry, ponieważ współczynnik stojący przy
z największą potęgą jest dodatni.
Oblicz dla jakich
spełniony jest czwarty warunek.
Skorzystaj ze wzorów Viete’a na sumę rozwiązań.
Pomnóż całą nierówność przez kwadrat mianownika ułamka znajdującego się z lewej strony nierówności. Zauważ, że możesz to zrobić, ponieważ kwadrat jakiejkolwiek liczby jest zawsze dodatni, więc znak nierówności nie zmieni się.
Zauważ, że nierówność składa się z iloczynu dwóch równań, będzie ona zerem, jeśli chociaż jeden z nich będzie równy zero.
Oblicz rozwiązania powyższych równań. Zauważ, że powstałe równanie kwadratowe ma takie same rozwiązania jak równanie z warunku I. Nie musisz więc obliczać delty, ponieważ znasz już jego miejsca zerowe.
Zaznacz obliczone rozwiązania na osi i przedziały, gdy wykres jest nad osią. Wykres zacznij rysować od dołu, ponieważ współczynnik stojący przy
z największą potęgą jest ujemny.
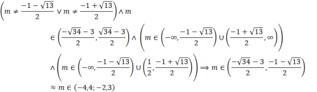
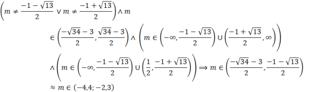
Zapisz wszystkie obliczone powyżej przedziały i wyznacz ich część wspólną.
Oblicz dla jakich
spełniony jest piąty warunek.
Sumę rozwiązań zapisz za pomocą
i skorzystaj ze wzorów Viete’a.
Z powstałego równania wyznacz wartość
Iloczyn rozwiązań zapisz za pomocą
i skorzystaj ze wzorów Viete’a.
Z powstałego równania wyznacz wartość
W miejsce
i
w początkowym wzorze funkcji podstaw obliczone powyżej wartości i powstałe równanie przedstaw w najprostszej postaci.
Zauważ, że całe równanie możesz pomnożyć przez mianownik, ponieważ wykluczyłeś wcześniej
dla którego jest on równy zero.
Oblicz deltę i miejsca zerowe powyższego równania. Sprawdź, które z nich należy do ustalonego wcześniej przedziału.