ODP: Prawdopodobieństwo zdarzenia wynosi
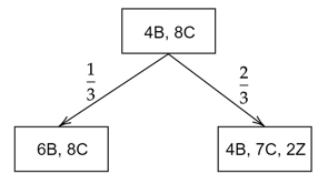
Narysuj drzewko prawdopodobieństwa. Zauważ, że na początku w urnie masz 4 kule białe i 8 czarnych. Następnie jeśli wylosujesz kulę białą, to dokładasz 2 białe, a jeśli wylosujesz kulę czarną to dokładasz 2 zielone.
Oblicz prawdopodobieństwo wylosowania dwóch kul białych. Zauważ, że bierzesz pod uwagę każdy z dwóch pojemników. Masz więc
szansy na wylosowanie dwóch z sześciu kul białych oraz dwóch z czternastu znajdujących się w pojemniku lub
szansy na wylosowanie dwóch z czterech kul białych oraz dwóch z trzynastu znajdujących się w pojemniku.