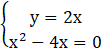
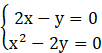
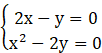
Rozwiąż równania.
Odpowiedź: x = 0, y = 0 lub x = 4, y = 8.
Z pierwszego równania wyznaczamy y i podstawiamy do drugiego. Potem wyznaczamy możliwe wartości x, które spełniają układ równań. Wstawiając kolejne wartości x do dowolnego równania wyliczamy drugą współrzędną.
Ćwiczenie 1.
11Ćwiczenie 2.
11Ćwiczenie 3.
12Ćwiczenie 4.
12Zadanie 1.
13Zadanie 2.
13Zadanie 3.
13Zadanie 4.
13Zadanie 5.
13Zadanie 6.
13Zadanie 7.
13Zadanie 8.
13Ćwiczenie 1.
14Ćwiczenie 2.
15Ćwiczenie 3.
15Ćwiczenie 4.
15Zadanie 1.
16Zadanie 2.
16Zadanie 3.
16Zadanie 4.
16Zadanie 5.
16Zadanie 6.
16Ćwiczenie 1.
17Ćwiczenie 2.
17Ćwiczenie 3.
18Ćwiczenie 4.
18Zadanie 1.
19Zadanie 2.
19Zadanie 3.
19Zadanie 4.
19Zadanie 5.
19Zadanie warto powtórzyć 1
20Zadanie warto powtórzyć 2
20Ćwiczenie 1.
21Ćwiczenie 2.
22Ćwiczenie 3.
22Zadanie 1.
23Zadanie 2.
23Zadanie 3.
23Zadanie 4.
23Zadanie 5.
23Ćwiczenie 1.
24Ćwiczenie 2.
24Zadanie 1.
25Zadanie 2.
25Zadanie 3.
25Zadanie 4.
25Zadanie warto wiedzieć 1
26Zadanie warto wiedzieć 2
26Zadanie warto wiedzieć 3
26Ćwiczenie 1.
27Ćwiczenie 2.
27Ćwiczenie 3.
28Ćwiczenie 4.
29Zadanie 1.
29Zadanie 3.
29Zadanie 4.
29Zadanie 5.
29Zadanie 7.
29Zadanie 8.
29Zadanie 9.
29Ćwiczenie 2.
30Ćwiczenie 3.
30Ćwiczenie 4.
31Ćwiczenie 5.
32Ćwiczenie 6.
32Ćwiczenie 7.
32Zadanie 3.
33Zadanie 4.
33Zadanie 5.
33Zadanie 6.
33Zadanie 7.
33Zadanie 8.
33Zadanie 9.
33Zadanie 10.
34Zadanie 11.
34Zadanie 14.
34Zadanie 15.
34Zadanie 18.
34Zadanie 19.
34Ćwiczenie 1.
35Ćwiczenie 3.
36Zadanie 1.
37Zadanie 2.
37Zadanie 7.
37Zadanie 8.
37Ćwiczenie 1.
38Ćwiczenie 2.
38Ćwiczenie 5.
39Zadanie 2.
39Zadanie 8.
40Zadanie 9.
40Zadanie 1.
43Zadanie 2.
43Zadanie 1.
44Zadanie 2.
44Zadanie 3.
44Zadanie 4.
44Zadanie 5.
44Zadanie 6.
44Zadanie 7.
44Zadanie 8.
44Zadanie 9.
45Zadanie 10.
45Zadanie 12.
45Zadanie 13.
45Zadanie 1.
45Zadanie 2.
45Zadanie 3.
45Zadanie 4.
46Zadanie 5.
46Zadanie 6.
46Zadanie 7.
46Zadanie 8.
46Zadanie 9.
46Zadanie 10.
46Zadanie 11.
46Zadanie 12.
46Zadanie 13.
46Zadanie 8.
49