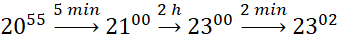
W tym zadaniu znajdź czas, jaki upłynął od początku do końca trwania filmu, jeśli film zaczął się o 2055 i skończył o 2302.
NIE
Najpierw odmierzamy, ile czasu zostało do najbliższej pełnej godziny, następnie do pełnej godziny zakończenia, na koniec dodajemy minuty do dokładnego czasu zakończenia.
Czas trwania filmu z reklamami to 2 h 7 min.
Zadanie 4 zamknięte
7Zadanie 3 zamknięte
11Zadanie 7 zamknięte
11Zadanie 12 zamknięte
12Zadanie 7.
12Zadanie 4 zamknięte
14Zadanie 5 zamknięte
14Zadanie 8 zamknięte
14Zadanie 12 zamknięte
16Zadanie 1.
17Zadanie 2.
17Zadanie 6.
17Zadanie 8.
17Zadanie 13.
18Zadanie 4 zamknięte
19Zadanie 6 zamknięte
19Zadanie 3.
20Zadanie 5.
20Zadanie 6.
20Zadanie 7.
20Zadanie 3 zamknięte
23Zadanie 4 zamknięte
23Zadanie 5 zamknięte
23Zadanie 7 zamknięte
27Zadanie 8 zamknięte
27Zadanie 11 zamknięte
28Zadanie 8.
29