W tym zadaniu znajdź czas, jaki upłynął od początku do końca trwania filmu pomniejszony o czas trwania reklam, jeśli film zaczął się o 2055 i skończył o 2302, a przerwy trwały kolejno 6 min 48 s, 3 min 45 s i 5 min 27 s.
TAK
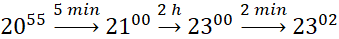
Najpierw odmierzamy czas, jaki upłynął od początku filmu do jego końca:
Czas trwania filmu z reklamami: 2 h 7 min.
Następnie liczymy łączny czas trwania reklam:
6 min 48 s + 3 min 45 s + 5 min 27 s = 14 min 120 s = 16 min.
Żeby otrzymać czas trwania filmu bez reklam, odejmujemy od czasu wyświetlania filmu czas trwania reklam, ponieważ odejmowana liczba minut jest większa od liczby minut trwania filmu, jedną z pełnych godzin zamieniamy na 60 minut.
Czas trwania filmu bez reklam: 2 h 7 min – 16 min = 1 h 67 min – 16 min = 1 h 51 min
Zadanie 4 zamknięte
7Zadanie 3 zamknięte
11Zadanie 7 zamknięte
11Zadanie 12 zamknięte
12Zadanie 7.
12Zadanie 4 zamknięte
14Zadanie 5 zamknięte
14Zadanie 8 zamknięte
14Zadanie 12 zamknięte
16Zadanie 1.
17Zadanie 2.
17Zadanie 6.
17Zadanie 8.
17Zadanie 13.
18Zadanie 4 zamknięte
19Zadanie 6 zamknięte
19Zadanie 3.
20Zadanie 5.
20Zadanie 6.
20Zadanie 7.
20Zadanie 3 zamknięte
23Zadanie 4 zamknięte
23Zadanie 5 zamknięte
23Zadanie 7 zamknięte
27Zadanie 8 zamknięte
27Zadanie 11 zamknięte
28Zadanie 8.
29