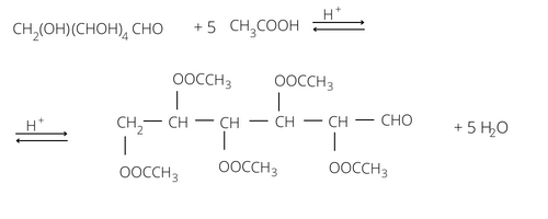
Ułóż równanie reakcji powstawania pentaoctanu glukozy.
Grupy octanowe przyłączają się do grup -OH glukozy.
Ćwiczenie 18.1.
Ćwiczenie 18.2.
Ćwiczenie *18.3.
Ćwiczenie 18.4.
Ćwiczenie 18.5.
Ćwiczenie 18.6.
Podpunkt a)
Podpunkt b)
Ćwiczenie 18.7.
Podpunkt c)
Ćwiczenie *18.8.
Ćwiczenie 18.9.
Ćwiczenie 18.10.
Ćwiczenie 18.11.
Ćwiczenie 18.12.
Ćwiczenie 18.13.
Ćwiczenie 18.14.
Ćwiczenie 18.15.
Podpunkt *d)
Ćwiczenie 18.16.
Ćwiczenie 18.17.
Ćwiczenie 18.18.
Ćwiczenie 18.19.
Ćwiczenie 18.20.
Podpunkt d)
Ćwiczenie 18.21.
Ćwiczenie 18.22.
Ćwiczenie 18.23.
Ćwiczenie 18.24.
Ćwiczenie 18.25.
Ćwiczenie 18.26.
Ćwiczenie *18.27.
Ćwiczenie 18.28.
Ćwiczenie 18.29.
Ćwiczenie *18.30.
Ćwiczenie 18.31.
Ćwiczenie 18.32.
Ćwiczenie 18.33.
Ćwiczenie 18.34.
Ćwiczenie 18.35.
Ćwiczenie 18.36.
Ćwiczenie *18.37.
Ćwiczenie *18.38.
Ćwiczenie **18.39.
Ćwiczenie **18.40.
Ćwiczenie 18.41.
Ćwiczenie 18.42.
Ćwiczenie 18.43.
Ćwiczenie 18.44.
Ćwiczenie 18.45.
Ćwiczenie 18.46.
Ćwiczenie 18.47.
Ćwiczenie 18.48.
Ćwiczenie 18.49.
Ćwiczenie 18.50.
Ćwiczenie 18.51.
Ćwiczenie 18.52.
Ćwiczenie 18.53.
Ćwiczenie 18.54.
Ćwiczenie 18.55.
Ćwiczenie 18.56.
Ćwiczenie *18.57.
Ćwiczenie *18.58.
Ćwiczenie 18.59.
Ćwiczenie 18.60.
Ćwiczenie 18.61.
Ćwiczenie 18.62.
Ćwiczenie 18.63.
Ćwiczenie 18.64.
Ćwiczenie *18.65.
Ćwiczenie *18.66.
Ćwiczenie 18.67.
Ćwiczenie 18.68.
Ćwiczenie *18.69.
Ćwiczenie *18.70.