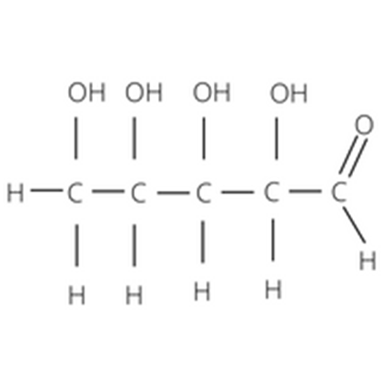
Narysuj wzór arabinozy.
Tworzy teraoctan – ma cztery grupy -OH.?
Reaguje z odczynnikiem Tollensa – ma grupę aldehydową -CHO,
Ćwiczenie 18.1.
Ćwiczenie 18.2.
Ćwiczenie *18.3.
Ćwiczenie 18.4.
Ćwiczenie 18.5.
Ćwiczenie 18.6.
Podpunkt a)
Podpunkt b)
Ćwiczenie 18.7.
Podpunkt c)
Ćwiczenie *18.8.
Ćwiczenie 18.9.
Ćwiczenie 18.10.
Ćwiczenie 18.11.
Ćwiczenie 18.12.
Ćwiczenie 18.13.
Ćwiczenie 18.14.
Ćwiczenie 18.15.
Podpunkt *d)
Ćwiczenie 18.16.
Ćwiczenie 18.17.
Ćwiczenie 18.18.
Ćwiczenie 18.19.
Ćwiczenie 18.20.
Podpunkt d)
Ćwiczenie 18.21.
Ćwiczenie 18.22.
Ćwiczenie 18.23.
Ćwiczenie 18.24.
Ćwiczenie 18.25.
Ćwiczenie 18.26.
Ćwiczenie *18.27.
Ćwiczenie 18.28.
Ćwiczenie 18.29.
Ćwiczenie *18.30.
Ćwiczenie 18.31.
Ćwiczenie 18.32.
Ćwiczenie 18.33.
Ćwiczenie 18.34.
Ćwiczenie 18.35.
Ćwiczenie 18.36.
Ćwiczenie *18.37.
Ćwiczenie *18.38.
Ćwiczenie **18.39.
Ćwiczenie **18.40.
Ćwiczenie 18.41.
Ćwiczenie 18.42.
Ćwiczenie 18.43.
Ćwiczenie 18.44.
Ćwiczenie 18.45.
Ćwiczenie 18.46.
Ćwiczenie 18.47.
Ćwiczenie 18.48.
Ćwiczenie 18.49.
Ćwiczenie 18.50.
Ćwiczenie 18.51.
Ćwiczenie 18.52.
Ćwiczenie 18.53.
Ćwiczenie 18.54.
Ćwiczenie 18.55.
Ćwiczenie 18.56.
Ćwiczenie *18.57.
Ćwiczenie *18.58.
Ćwiczenie 18.59.
Ćwiczenie 18.60.
Ćwiczenie 18.61.
Ćwiczenie 18.62.
Ćwiczenie 18.63.
Ćwiczenie 18.64.
Ćwiczenie *18.65.
Ćwiczenie *18.66.
Ćwiczenie 18.67.
Ćwiczenie 18.68.
Ćwiczenie *18.69.
Ćwiczenie *18.70.