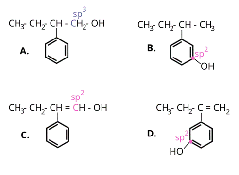
Do alkoholi zaliczamy związek A. Do fenoli zaliczamy związki B, C i D.
Alkohole to związki, w których grupa -OH połączona jest z węglem o hybrydyzacji sp3. Fenole natomiast to związki, w których grupa -OH połączona jest z węglem sp2. Spójrz na ilustracje. W pierwszej kolejności określ hybrydyzację dla atomów węgla, z którymi połączona jest grupa hydroksylowa. Następnie określ, czy związek to fenol (B, C, D) czy alkohol (A).
Hybrydyzacja orbitali atomowych zależy od liczby wiązań pomiędzy atomami węgla. Jeśli tworzy z innym atomem węgla tylko wiązanie pojedyncze to jego hybrydyzacja to sp3. Jeśli tworzy z innym atomem węgla wiązanie podwójne to jego hybrydyzacja to sp2. Jeśli natomiast tworzy wiązanie potrójne z innym atomem węgla – sp. Spójrz na wiązania w podanych związkach, by określić hybrydyzację.