masa Br2 = 160 g/mol
masa fenolu = 94 g/mol
1. 94 g fenolu — 480 g Br2
x — 0,05 g Br2
x = 0,05 ∙ 94 : 480 = 9,8 ∙ 10-3 [g fenolu]
2. 9,8 ∙ 10-3 g fenolu — 100 cm3
y — 1 cm3
y = 9,8 ∙ 10-3 ∙ 1 : 100 = 9,8 ∙ 10-5 [g fenolu]
Odpowiedź: Stężenie fenolu w ścieku wynosi 9,8 ∙ 10-5 g/cm3.
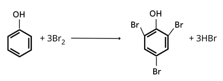
Krok 1: Zapisz równanie reakcji. Jest to reakcja substytucji elektrofilowej – bromowanie fenolu. Grupa -OH w fenolu jest podstawnikiem pierwszego rodzaju, co powoduje, że atomy bromu kierują się w pozycję orto- i para- (2 i 6). Fenol jest związkiem bardzo reaktywnym i produktem bromowania fenolu jest 2,4,6-tribromofenol.
Krok 2: Oblicz masę fenolu i cząsteczki bromu. Pamiętaj, że cząsteczka bromu jest dwuatomowa. Masy poszczególnych atomów znajdziesz w tabeli pierwiastków chemicznych.
masa Br2 = 1 ∙ 80 = 160 [g/mol]
masa fenolu = 6 ∙ 12 + 5 ∙ 1 + 16 ∙ 1 = 94 [g/mol]
Krok 3: Spójrz na wartości stechiometryczne. Jeden mol fenolu reaguje z trzema molami cząsteczkowego bromu. Na tej podstawie ułóż proporcję, by dowiedzieć się, ile fenolu przereaguje z 50 mg bromu (0,05 g).
94 g fenolu — 480 g Br2
x — 0,05 g Br2
x = 0,05 ∙ 94 : 480 = 9,8 ∙ 10-3 [g fenolu]
Krok 4: Stężenie. Obliczona wartość fenolu jest w 100 cm3. Naszym celem jest uzyskanie informacji o stężeniu w g/cm3. Musimy zatem policzyć masę fenolu w 1 cm3.
9,8 ∙ 10-3 g fenolu — 100 cm3
y — 1 cm3
y = 9,8 ∙ 10-3 ∙ 1 : 100 = 9,8 ∙ 10-5 [g fenolu]