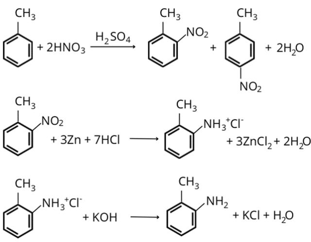
Krok 1: Nitrowanie toluenu, czyli metylobenzenu. Mieszaninę nitrującą stanowi kwas azotowy(V) i siarkowy(VI). W wyniku tej reakcji powstają nitropochodne toluenu. Grupa metylowa w toluenie to podstawnik I rodzaju, więc kieruje grupy nitrowe w pozycje orto (2) i para (4). Produktem ubocznym tej reakcji jest woda. Do naszej reakcji wykorzystamy tylko pochodną orto.
Krok 2: Redukcja części „nitrobenzenowej”. Do końca ciągu reakcji możemy ignorować grupę metylową - w niej nie zachodzą zmiany. Pod wpływem cynku i kwasu chlorowodorowego dochodzi do reakcji, w której azot przechodzi z III na -III stopień utlenienia - stąd jest to redukcja.
Krok 3: Zredukowany produkt poddajemy reakcji z wodorotlenkiem potasu. W miejsce podstawnika -NH3+Cl- powstaje grupa -NH2. Produktami ubocznymi są sól (chlorek potasu) i woda.