Krok 1: Zapisz dane. Informację o stężeniu i stałej dysocjacji uzyskujemy z treści zadania.
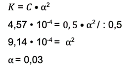
C = 0,5 mol/dm3
K = 4,57 • 10-4
Krok 2: Zapisz wzór na stałą dysocjacji K:
Według prawa rozcieńczeń Ostwalda, gdy iloraz stężenia i stałej dysocjacji K jest większy niż 400, można skorzystać ze wzoru uproszczonego na K i pominąć mianownik równania:
Korzystamy z uproszczonego wzoru i rozwiązujemy równanie: