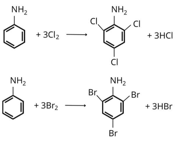
Podstawnik w postaci grupy aminowej to podstawnik pierwszego rodzaju. Grupa -NH2 ułatwia atak elektrofila w pozycjach 2, 4 i 6 (gdzie grupa aminowa wyznacza 1. atom węgla). Produktami reakcji chlorowania i bromowania są odpowiednio 2,4,6-trichloroanilina i 2,4,6-tribromoanilina. W reakcjach tych podstawieniu ulegają atomy wodoru z pierścienia. Produktami ubocznymi są odpowiednie gazy. Pamiętaj o uzgodnieniu równań reakcji.