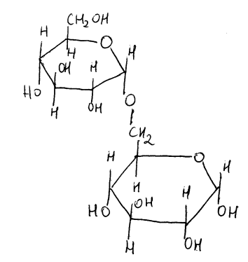
Narysuj disacharyd złożony z dwóch cząsteczek glukozy połączonych wiązaniem -1,6,-O-glikozydowym.
Rozwiązanie
Wyjaśnienie
Rysujemy dwie cząsteczki glukozy. Od pierwszego atomu węgla w pierwszej cząsteczce rysujemy z pozycji α wiązanie w dół do szóstego atomu węgla w drugiej cząsteczce.