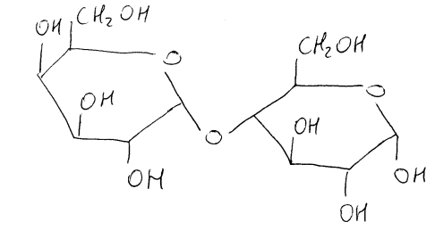
Narysuj wzory dwóch różnych disacharydów zbudowanych z galaktozy połączonych między sobą wiązaniem 1,4-O-glikozydowym.
Sacharydy te będą się różniły orientacją α i β przy pierwszym atomie węgla jednego z nich.
Zadanie 1.
Zadanie 2.
Zadanie 3.
Zadanie 4.
Zadanie 5.
Zadanie 6.
Zadanie 7.
Zadanie 8.
Zadanie 9.
Zadanie 10.