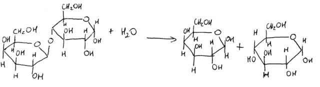
Zapisz równanie rozkładu laktozy na cukry proste.
Jedna cząsteczka laktozy reaguje z jedną cząsteczką wody. W wyniku reakcji powstaje jedna cząsteczka glukozy i jedna cząsteczka galaktozy.
Zadanie 1.
Zadanie 2.
Zadanie 3.
Zadanie 4.
Zadanie 5.
Zadanie 6.
Zadanie 7.
Zadanie 8.
Zadanie 9.
Zadanie 10.