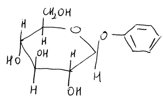
Narysuj wzór w projekcji Hawortha -glukozydu fenylu.
Do grupy hydroksylowej przy pierwszym atomie węgla w cząsteczce glukozy podłączamy pierścień aromatyczny stanowiący resztę z fenolu w pozycji .
Zadanie 1.
Zadanie 2.
Zadanie 3.
Zadanie 4.
Zadanie 5.
Zadanie 6.
Zadanie 7.
Zadanie 8.
Zadanie 9.
Zadanie 10.