1.
2.
3.
4.
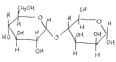
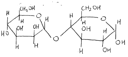
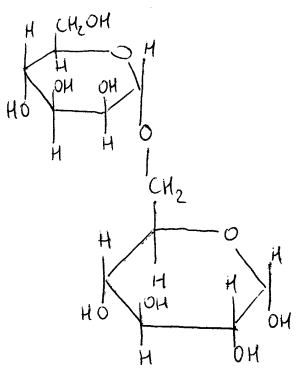
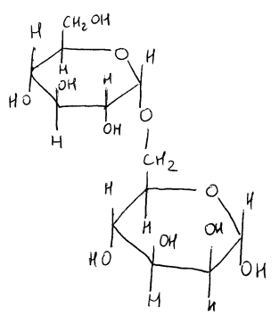
Zarówno glukoza, jak i mannoza mogą tworzyć wiązania przy swoich pierwszych i czwartych atomach węgla zarówno w pozycji α, jak i β. Daje to cztery możliwe związki.