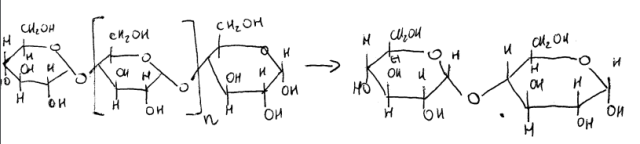
Zapisz reakcje hydrolizy skrobi do maltozy i zaznacz w łańcuchu skrobi resztę maltozową.
Rozwiązanie
Wyjaśnienie
Zapisujemy wzór Hawortha skrobi zbudowanej z maltozy (cząsteczki są połączone wiązaniami 1,4-O-glikozydowymi). Człon powtarzający się to właśnie reszta maltozowa.