Odpowiedź:
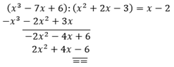
Oblicz wartość parametru p i q podstawiając za niewiadomą x 1 i -3 równocześnie przyrównując wielomian do zera. Po obliczeniu parametrów należy podzielić wielomian
przez
, który jest iloczynem dwóch dwumianów
.