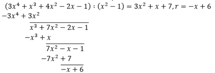
Aby podzielić jeden wielomian przez drugi, należy podzielić pierwszy jednomian przez pierwszy wyraz dzielnika. Wynik zapisz po znaku równości. Teraz wykonaj operację odwrotną, czyli pomnóż pierwszy wyraz dzielnika przez wyraz po znaku równości i zmień znak na przeciwny. Tak samo zrób dla każdego wyrazu dzielnika, zmieniając ich znaki na przeciwne. Wynik zapisuj pod wielomianem, który jest dzielony. Teraz tak jak w dzieleniu pisemnym wykonaj odejmowanie pod kreską. Wykonaj redukcję, dodając jednomiany tego samego stopnia. Powtarzaj czynność aż do uzyskania wyrazu wolnego, który będzie resztą z dzielenia. Wyraz wolny to liczba lub wyrażenie o mniejszej potędze niż najwyższa potęga dzielnika.