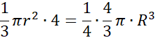
Wyznacz pole przekroju osiowego stożka, jeśli w kulę wpisano stożek o wysokości 4, a objętość stożka jest czterokrotnie mniejsza od objętości kuli.
| 1 | 0 | -32 | 64 | |
| 4 | 1 | 4 | -16 | 0 |
Skorzystaj z twierdzenia Pitagorasa, aby wyznaczyć długość promienia stożka. Następnie skorzystaj ze wzoru na objętość stożka i kuli i z powstałego równania wyznacz długość promienia kuli.
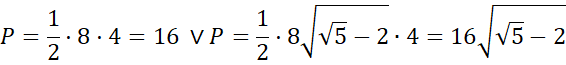
Na koniec wyznacz pole przekroju – trójkąta o wysokości
Ćwiczenie 1
138Ćwiczenie 4
139Ćwiczenie 5
139Zadanie 1
139Zadanie 2
139Zadanie 8
140Zadanie 14
140Ćwiczenie 5
142Ćwiczenie 6
142Ćwiczenie 7
143Zadanie 1
143Zadanie 2
143Zadanie 3
143Zadanie 4
143Zadanie 7
144Zadanie 9
144Zadanie 11
144Zadanie 13
144Ćwiczenie 1
146Ćwiczenie 2
147Ćwiczenie 3
147Zadanie 1
148Zadanie 3
148Zadanie 4
148Zadanie 5
148Zadanie 7
149Zadanie 9
149Zadanie 10
149Ćwiczenie 1
151Zadanie 1
152Zadanie 2
152Zadanie 3
153Zadanie 4
153Zadanie 6
153Ćwiczenie 1
156Ćwiczenie 2
157Zadanie 1
157Zadanie 3
157Zadanie 12
158Ćwiczenie 1
160Zadanie 1
162Zadanie 3
162Zadanie 4
162Zadanie 5
162Zadanie 6
162Ćwiczenie 1
164Ćwiczenie 2
164Ćwiczenie 3
164Zadanie 3
165Zadanie 1
169Zadanie 2
169Zadanie 3
170Zadanie 4
170