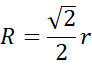
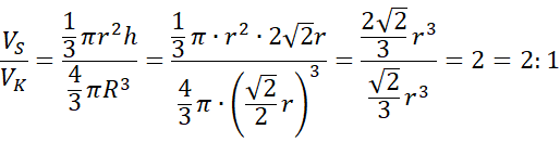
Wyznacz stosunek objętości stożka do objętości kuli, jeśli na kuli opisano stożek, którego pole powierzchni bocznej jest trzykrotnie większe od pola jego podstawy.
A.
B.
C. 2:1
D. 3:1
Odp. C. 2:1
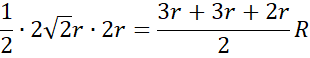
Skorzystaj z twierdzenia Pitagorasa i wyznacz długość przyprostokątnych trójkąta prostokątnego, a następnie ze wzoru na pole trójkąta z przyprostokątnymi oraz połową obwodu i z powstałego równania wyznacz długość promienia oraz stosunek objętości stożka i kuli.
Ćwiczenie 1
138Ćwiczenie 4
139Ćwiczenie 5
139Zadanie 1
139Zadanie 2
139Zadanie 8
140Zadanie 14
140Ćwiczenie 5
142Ćwiczenie 6
142Ćwiczenie 7
143Zadanie 1
143Zadanie 2
143Zadanie 3
143Zadanie 4
143Zadanie 7
144Zadanie 9
144Zadanie 11
144Zadanie 13
144Ćwiczenie 1
146Ćwiczenie 2
147Ćwiczenie 3
147Zadanie 1
148Zadanie 3
148Zadanie 4
148Zadanie 5
148Zadanie 7
149Zadanie 9
149Zadanie 10
149Ćwiczenie 1
151Zadanie 1
152Zadanie 2
152Zadanie 3
153Zadanie 4
153Zadanie 6
153Ćwiczenie 1
156Ćwiczenie 2
157Zadanie 1
157Zadanie 3
157Zadanie 12
158Ćwiczenie 1
160Zadanie 1
162Zadanie 3
162Zadanie 4
162Zadanie 5
162Zadanie 6
162Ćwiczenie 1
164Ćwiczenie 2
164Ćwiczenie 3
164Zadanie 3
165Zadanie 1
169Zadanie 2
169Zadanie 3
170Zadanie 4
170