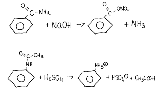
Ustal, czy mając do dyspozycji roztwory wodne H2SO4 i NaOH, można rozróżnić oba przedstawione amidy. Zapisz równania zachodzących reakcji chemicznych.
Kwas siarkowy reaguje z N-fenyloacetamidem- dochodzi do hydrolizy kwasowej, w wyniku której powstaje kwas octowy (u wylotu probówki można wyczuć zapach octu).
Benzamid można wykryć korzystając z wodorotlenku sodu- jest to reakcja hydrolizy zasadowej, w wyniku której wydziela się gaz o charakterystycznym zapachu, jakim jest amoniak.
Ćwiczenie 4
203Ćwiczenie 5
203Ćwiczenie 2
208Ćwiczenie 4
208Ćwiczenie 2
222Ćwiczenie 3
222Ćwiczenie 8
222Ćwiczenie 2
226Ćwiczenie 3
226Ćwiczenie 3
233Ćwiczenie 5
233Ćwiczenie 2
251Ćwiczenie 3
264Ćwiczenie 4
264Ćwiczenie 3
268Ćwiczenie 4
268Ćwiczenie 3
278Ćwiczenie 4
278Ćwiczenie 5
296Ćwiczenie 1
304Ćwiczenie 5
304Ćwiczenie 1a
360Ćwiczenie 2a
360Ćwiczenie 3a
360Ćwiczenie 6
308Ćwiczenie 7
309Ćwiczenie 8a
361Ćwiczenie 9
309Ćwiczenie 10
309Ćwiczenie 10a
362Ćwiczenie 11
310Ćwiczenie 12
310Ćwiczenie 2
316Ćwiczenie 3
324Ćwiczenie 5
324Ćwiczenie 9
325Ćwiczenie 3
334Ćwiczenie 7
335Ćwiczenie 2
349Ćwiczenie 4
350Ćwiczenie 7
350Ćwiczenie 9
350Ćwiczenie 4
357Ćwiczenie 5
357Ćwiczenie 7
358