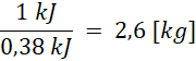
Oblicz jaką ilość miedzi możesz ogrzać o 1°C dostarczając 1 kJ
A. 2,6 g
Ciepło właściwe miedzi, czyli ilość ciepła jaka pozwoli na ogrzanie 1 kg miedzi o 1°C wynosi 380 J = 0,38 kJ
Ćwiczenie Ćwiczenie
Ćwiczenie Doświadczenie
Ćwiczenie Doświadczenie 2
Zadanie 1
Podpunkt a)
Podpunkt b)
Podpunkt c)
Podpunkt d)
Zadanie 2
Zadanie 3
Zadanie 4
Zadanie 5
Ćwiczenie Doświadczenie: Napięcie powierzchniowe
Zadanie 6
Zadanie 7
Zadanie 8
Ćwiczenie Doświadczenie: Kubek i talerz
Ćwiczenie Doświadczenia: Chłodzenie dzięki rozpuszczaniu
Ćwiczenie Doświadczenia: Gumka i przemiany energii
Ćwiczenie Doświadczenie 3
Ćwiczenie Doświadczenie: Konwekcja w wodzie
Ćwiczenie Test 1 – To musisz umieć
Ćwiczenie Test 2 – Dobrze, jeśli to umiesz
Ćwiczenie Test 3 – To warto umieć
Podpunkt 3.
Podpunkt 4.
Podpunkt 5.
Podpunkt 6.
Ćwiczenie Test 4 – Świetnie, jeśli to umiesz
Podpunkt 2.