Pocisk rozgrzeje się o 76,9°C.
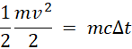
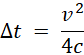
Połowa energii kinetycznej pocisku zamieni się w jego energię wewnętrzną ogrzewając go, czyli
Masa w powyższym równaniu się skróci, ponieważ występuje po obu stronach równania. Możesz więc wyznaczyć zależność określającą o ile zmieni się temperatura pocisku.
Odczytaj z tabeli na końcu podręcznika wartość ciepła właściwego ołowiu: